
摘要
目的
溫度升高可促進黑臭沉積物中磷的移動。一般認為溫度誘導沉積物中P的釋放主要受鐵還原控制,而硫酸鹽還原的作用往往被忽視。本文研究了在黑臭沉積物中,硫酸鹽還原對有機磷和無機磷釋放的影響及其機理。
材料與方法
2021年1月,利用重力采樣器在典型的黑臭河流南京忠字河采集了9個沉積物柱樣。所有樣品運到實驗室后,將3個沉積物巖心放入3個不同的槽中培養,通過循環水水槽將槽內水溫控制在5℃、15℃、25℃。培養15d后,結合薄膜擴散梯度(DGT)、高分辨率孔隙水擴散平衡(HR-Peeper)、P序列提取和16S rRNA擴增子測序技術,研究溫度變化與硫酸鹽還原速率變化和P遷移的關系。
結果與討論
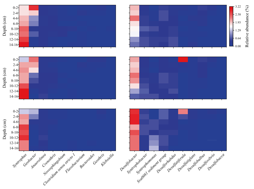
結果表明,溫度從5℃升高到25℃,孔隙水中活性硫化物(S(-II))和可溶性活性磷(SRP)的濃度及其垂直分布趨勢呈顯著正相關(r≥0.45,P≤0.05)。同時,沉積物中有機磷(OP)和鐵結合磷(Fe-P)的減少幅度最大。進一步分析發現,硫酸鹽還原菌(SRB)的相對豐度從4.35%上升到5.43%,而鐵還原菌(IRB)的相對豐度從4.99%下降到3.68%,可能時SRB抑制了IRB的生長,微生物硫酸鹽還原(MSR)成為OP成礦的主要途徑。雖然IRB的生長受到抑制,但沉積物中Fe-p和Fe(III)氧化物含量明顯降低,表明發生了化學鐵還原(CIR)。

(a)黑臭河沉積物孔隙水中可溶性S(-II)的二維垂向空間變化;(b,c,d)不同溫度下,SRP、Fe(II)和S(-II)濃度的一維垂向變化。

不同溫度下,黑臭沉積物孔隙水中SRP、S(-II)和Fe(II)的相關性分析。

黑河沉積物中磷各組分隨溫度升高的變化規律
結論
溫度升高促進了黑臭沉積物中SRB的繁殖,抑制了IRB的生長,這不僅使MSR成為OP礦化的主要途徑,而且改變了鐵還原的主要途徑,使微生物鐵還原(MIR)被S(-II)誘導的CIR所取代,導致黑臭沉積物中磷的高移動性。